The goal of QQreflimits is to provide routines for finding reference limits using, where appropriate, QQ methodology. All use a data vector X of cases from the reference population. The default is to get the central 95% reference range of the population, namely the 2.5 and 97.5 percentiles.
In some settings we want the 99% range.
Sometimes we want only one of these limits – for example the upper 95% point.
Along with the reference limit, we want a confidence interval which, for historical reasons, is typically at 90% confidence. A full analysis provides six numbers:
You can install the development version of QQreflimits like so:
install.packages("QQreflimits") # once available on CRAN
This is a basic example which shows you how to solve a common problem:
library(QQreflimits)
# parameters
<- 40
mu <- 10
sigma <- 120
n # identifying winsoring
<- trunc(n/40)
wins # replicable randomization
set.seed(1069)
<- mu + sigma*rnorm(n)
X # replicable randomization with heavy tails
set.seed(1069)
<- mu + sigma * rt(n, 5)
HT
# visual settings
par(mfrow=c(2,2))
par(oma=c(0,0,2,0))
# plot to compare
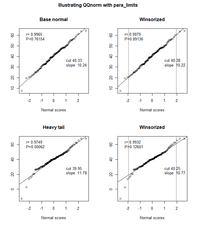
<- QQnorm(X, main="Base normal", showsum=TRUE)
base title("Illustrating QQnorm with para_limits", outer=TRUE)
<- QQnorm(X, main="Winsorized", winsor=wins, showsum=TRUE)
basew <- QQnorm(HT, main="Heavy tail", showsum=TRUE)
ht <- QQnorm(HT, main="Winsorized", winsor=wins, showsum=TRUE) htw
# evaluate and review
<- para_limits(mean(X), sd(X), n)
norm_results
norm_results#> $lower
#> [1] 20.21278 17.57878 22.84678
#>
#> $upper
#> [1] 60.44854 57.81454 63.08255
#>
#> $effn
#> [1] 120
# evaluate and review with tails
<- para_limits(htw$intercept, htw$slope, n, winsor=wins)
tailed_results
tailed_results#> $lower
#> ns[QQrange] ns[QQrange]
#> 19.14649 16.25381 22.03916
#>
#> $upper
#> ns[QQrange] ns[QQrange]
#> 61.35614 58.46346 64.24881
#>
#> $effn
#> [1] 109.5