Version: 2.4
Date: 2023-8-30
Title: Statistical Learning Functions
Author: Carlos Javier Hellin Asensio [aut, cre], Jose Manuel Gomez Caceres [aut], Dennis Monheimius [aut], Eduardo Benito [aut], Juan Jose Cuadrado [aut], Universidad de Alcala de Henares [aut]
Maintainer: Carlos Javier Hellin Asensio <carlos.hellin@uah.es>
Depends: magick, crayon
Suggests: knitr, rmarkdown
Description: Aids in learning statistical functions incorporating the result of calculus done with each function and how they are obtained, that is, which equation and variables are used. Also for all these equations and their related variables detailed explanations and interactive exercises are also included. All these characteristics allow to the package user to improve the learning of statistics basics by means of their use.
License: Unlimited
VignetteBuilder: knitr
NeedsCompilation: yes
Type: Package
Packaged: 2023-08-30 17:27:14 UTC; carlos
Repository: CRAN
Date/Publication: 2023-08-30 22:10:03 UTC
RoxygenNote: 7.1.1
Encoding: UTF-8

Statistical Learning Functions

Description

Package used to teach basic statistics to students.

Details

This package pretends to serve the user as a method of learning basic statistical functions at secondary and baccalaureate courses. The content of the package incorporate a serie of statistical functions like the calculus of the arithmetic mean or the calculus of the frequencies. There is no only calculus functions, further more, there are incorporated interactive and explicative functions to help and guide the user in the learning process.

Author(s)

Jose Manuel Gomez Caceres, josemanuel.gomezc@edu.uah.es
Dennis Monheimius, dennis.monhemimius@edu.uah.es
Eduardo Benito, eduardo.benito@edu.uah.es
Juan Jose Cuadrado, jjcg@uah.es
Universidad de Alcala de Henares
Maintainer: Eduardo Benito eduardo.benito@edu.uah.com


Average Absolute Deviation Function

Description

This function calculates the average absolute deviation of a numbers vector.

Usage

averageDeviation_(x)

Arguments

x

Should be a numbers vector

Details

To calculate the average deviation, the user should give a numbers vector. The result is the sum of the differences in absolute value between each vector element and the mean, divided by the number of elemets. The average absolute deviation formule is the following:
averageDeviation.jpg

Value

Numeric, the average absolute deviation of the numbers vector.

Note

A vector is created by c(), like c(1,2,3,4,5) creates a vector with the numbers: 1,2,3,4,5

Author(s)

Dennis Monheimius, dennis.monhemimius@edu.uah.es
Eduardo Benito, eduardo.benito@edu.uah.es
Juan Jose Cuadrado, jjcg@uah.es
Universidad de Alcala de Henares

Examples


#data creation
data <- c(1:20)
result = averageDeviation_(data)


Binomial Distribution Calculus Function

Description

This function calculates the binomial distribution of experiment.

Usage

binomial_(n,x,p)

Arguments

x

Should be a numbers.

n

Should be a numbers.

p

Should be a numbers.

Details

To calculate the binomial distribution, the user should give three number (the number of trials, probability of success and binomial random variable). The result is a discrete probability distribution that counts the number of successes in a sequence of n independent Bernoulli trials with a fixed probability p of occurrence of success between trials. The binomial distribution formule is the following:
binomial.jpg

Value

Numeric, the binomial distribution of three variables.

Note

Each variable is a number. Example: n <- 3 | x <- 2 | p <- 0.7

Author(s)

Jose Manuel Gomez Caceres, josemanuel.gomezc@edu.uah.es
Juan Jose Cuadrado, jjcg@uah.es
Universidad de Alcala de Henares

Examples


    #data creation
    n = 3
    x = 2
    p = 0.7
    binomial_(n,x,p)
  

Chisquared Distribution Calculus Function

Description

This function calculates the chisquared distribution of two vectors of numbers.

Usage

chisquared_(x,y)

Arguments

x

Should be a vector.

y

Should be a vector.

Details

To calculate the chisquared distribution, the user should give two vectors of numbers. The result is a sum of the squares of k independent standard normal random variables. The chisquared distribution formule is the following:
chisquared.jpg

Value

Numeric, the chisquared distribution of two vectors of numbers.

Note

A vector is created by c(), like c(1,2,3,4,5) creates a vector with the numbers: 1,2,3,4,5

Author(s)

Jose Manuel Gomez Caceres, josemanuel.gomezc@edu.uah.es
Juan Jose Cuadrado, jjcg@uah.es
Universidad de Alcala de Henares

Examples


    #data creation
    data = c(1,4,3,3,2,5,7,12,1,2,3,12)
    data2 = c(1,2,4,4,6,5,11,2,10,5,6,1)
    chisquared_(data, data2)
  

Coariance Calculus Function

Description

This function calculates the covariance of two vectors of numbers.

Usage

covariance_(x,y)

Arguments

x

Should be a vector

y

Should be a vector

Details

To calculate the covariance, the user should give two vectors of numbers. The result is a measure of the joint variability of two vectors of numbers. The covariance formule is the following:
covariance.jpg

Value

Numeric, the covariance of two vectors of numbers.

Note

A vector is created by c(), like c(1,2,3,4,5) creates a vector with the numbers: 1,2,3,4,5

Author(s)

Dennis Monheimius, dennis.monhemimius@edu.uah.es
Eduardo Benito, eduardo.benito@edu.uah.es
Juan Jose Cuadrado, jjcg@uah.es
Universidad de Alcala de Henares

Examples


    #data creation
    data = c(1,4,3,3,2,5,7,12,1,2,3,12)
    data2 = c(1,2,4,4,6,5,11,2,10,5,6,1)
    covariance_(data, data2)
  

Coefficient of Variation Calculus Function

Description

This function calculates the coefficient of variation of a numbers vector.

Usage

cv_(x)

Arguments

x

Should be a numbers vector

Details

To calculate the coefficient of variation, the user should give a numbers vector. The result is defined as the ratio of the standard deviation to the mean. The coefficient of variation formule is the following:
cv.jpg

Value

Numeric, the coefficient of variation of the numbers vector.

Note

A vector is created by c(), like c(1,2,3,4,5) creates a vector with the numbers: 1,2,3,4,5

Author(s)

Jose Manuel Gomez Caceres, josemanuel.gomezc@edu.uah.es
Juan Jose Cuadrado, jjcg@uah.es
Universidad de Alcala de Henares

Examples


    #data creation
    data = c(1,4,3,3,2,5,7,12,1,2,3,12)
    
    cv_(data)
  

Draw Vector Function

Description

This function prints all the elements of a vector

Usage

drawVector(buffer)

Arguments

buffer

A vector of elements

Value

There isn't return value, prints on screen

Note

A vector is created by c(), like c(1,2,3,4,5) creates a vector with the numbers: 1,2,3,4,5 or c(true,false,false) creates a vector with the booleans: true, false, true

Author(s)

Dennis Monheimius, dennis.monhemimius@edu.uah.es
Eduardo Benito, eduardo.benito@edu.uah.es
Juan Jose Cuadrado, jjcg@uah.es
Universidad de Alcala de Henares

Examples

{
  #data creation
  data <- c(1:12)
  drawVector(data)
  }

Absolute Accumulated Frecuency Calculus Explained

Description

Step by step demonstration of the absolute accumulated frecuency calculus

Usage

explain.absolute_acum_frecuency(v,x)

Arguments

v

Should be a vector

x

Should be a number

Details

To calculate the absolute accumulated frecuency, the user should give a vector and a number. We can saw the absolute accumulated frecuency formule in the frecuency_acum_absolute help document.

Value

A demonstration of the calculus process

Note

A vector is created by c(), like c(1,2,3,4,5) creates a vector with the numbers: 1,2,3,4,5

Author(s)

Dennis Monheimius, dennis.monhemimius@edu.uah.es
Eduardo Benito, eduardo.benito@edu.uah.es
Juan Jose Cuadrado, jjcg@uah.es
Universidad de Alcala de Henares

Examples

{
    #data creation
    data <- c(1,2,2,5,10,4,2)
    value = 2
    #function execution
    explain.absolute_acum_frecuency(data, value)
}
    

Absolute Frecuency Calculus Explained

Description

Step by step demonstration of the absolute frecuency calculus

Usage

explain.absolute_frecuency(v,x)

Arguments

v

Should be a vector

x

Should be a number

Details

To calculate the absolute frecuency, the user should give a vector and a number. We can saw the absolute frecuency formule in the frecuency_abs help document.

Value

A demonstration of the calculus process

Note

A vector is created by c(), like c(1,2,3,4,5) creates a vector with the numbers: 1,2,3,4,5

Author(s)

Dennis Monheimius, dennis.monhemimius@edu.uah.es
Eduardo Benito, eduardo.benito@edu.uah.es
Juan Jose Cuadrado, jjcg@uah.es
Universidad de Alcala de Henares

Examples

{
    #data creation
    data <- c(1,2,2,5,10,4,2)
    value = 2
    #function execution
    explain.absolute_frecuency(data, value)
}
    

Average Absolute Deviation Function Explained

Description

Step by step demonstration of the average absolute deviation calculus.

Usage

 
explain.averageDeviation(x)

Arguments

x

Should be a numbers vector

Details

To calculate the average absolute deviation, the user should give a numbers vector. The result is the explained process to calculate the average absolute deviation, with the data of the dataset provided like argument. We can saw the average absolute deviation formule in the averageDeviation_ help document.

Value

Numeric, the average absolute deviation of the numbers vector.

Note

A vector is created by c(), like c(1,2,3,4,5) creates a vector with the numbers: 1,2,3,4,5

Author(s)

Dennis Monheimius, dennis.monhemimius@edu.uah.es
Eduardo Benito, eduardo.benito@edu.uah.es
Juan Jose Cuadrado, jjcg@uah.es
Universidad de Alcala de Henares

Examples


  #data creation
  data <- c(7,2,5,7,1,4,12)
  
  explain.averageDeviation(data)
    

Binomial Distribution Function Explained

Description

Step by step demonstration of the binomial distribution calculus.

Usage

explain.binomial(n,x,p)

Arguments

x

Should be a numbers.

n

Should be a numbers.

p

Should be a numbers.

Details

To calculate the binomial distribution, the user should give three number (the number of trials, probability of success and binomial random variable). The result is a discrete probability distribution that counts the number of successes in a sequence of n independent Bernoulli trials with a fixed probability p of occurrence of success between trials. We can saw the binomial distribution formule in the binomial_ help document.

Value

Numeric result and the process of this calculus explained.

Note

Each variable is a number. Example: n <- 3 | x <- 2 | p <- 0.7

Author(s)

Jose Manuel Gomez Caceres, josemanuel.gomezc@edu.uah.es
Juan Jose Cuadrado, jjcg@uah.es
Universidad de Alcala de Henares

Examples

  
  #data creation
  n = 3
  x = 2
  p = 0.7
    
  explain.binomial(n,x,p)
  
    

Chisquared Distribution Function Explained

Description

Step by step demonstration of the chisquared distribution calculus.

Usage

explain.chisquared(x,y)

Arguments

x

Should be a vector.

y

Should be a vector.

Details

To calculate the chisquared distribution, the user should give two vectors of numbers. The result is a sum of the squares of k independent standard normal random variables. We can saw the chisquared distribution formule in the chisquared_ help document.

Value

Numeric result and the process of this calculus explained.

Note

A vector is created by c(), like c(1,2,3,4,5) creates a vector with the numbers: 1,2,3,4,5

Author(s)

Jose Manuel Gomez Caceres, josemanuel.gomezc@edu.uah.es
Juan Jose Cuadrado, jjcg@uah.es
Universidad de Alcala de Henares

Examples

  
  #data creation
  data <- c(10,4,5,7,3,4,1)
  data2 <- c(1,8,3,4,4,5,7)
  
  explain.chisquared(data, data2)
    

Covariance Function Explained

Description

Step by step demonstration of the covariance calculus.

Usage

explain.covariance(x,y)

Arguments

x

Should be a vector

y

Should be a vector

Details

To calculate the covariance, the user should give two vectors of numbers. The result is the explained process to calculate the covariance, with the data of the datasets provided like argument. We can saw the harmonic mean formule in the covariance_ help document.

Value

Numeric result and the process of this calculus explained.

Note

A vector is created by c(), like c(1,2,3,4,5) creates a vector with the numbers: 1,2,3,4,5

Author(s)

Jose Manuel Gomez Caceres, josemanuel.gomezc@edu.uah.es
Juan Jose Cuadrado, jjcg@uah.es
Universidad de Alcala de Henares

Examples

  
  #data creation
  data <- c(10,4,5,7,3,4,1)
  data2 <- c(1,8,3,4,4,5,7)
  
  explain.covariance(data, data2)
    

Coefficient of Variation Function Explained

Description

Step by step demonstration of the coefficient of variation calculus.

Usage

explain.cv(x)

Arguments

x

Should be a numbers vector

Details

To calculate the coefficient of variation, the user should give a numbers vector. The result is defined as the ratio of the standard deviation to the mean. We can saw the coefficient of variation formule in the cv_ help document.

Value

Numeric result and the process of this calculus explained.

Note

A vector is created by c(), like c(1,2,3,4,5) creates a vector with the numbers: 1,2,3,4,5

Author(s)

Jose Manuel Gomez Caceres, josemanuel.gomezc@edu.uah.es
Juan Jose Cuadrado, jjcg@uah.es
Universidad de Alcala de Henares

Examples

  
  #data creation
  data <- c(10,4,5,7,3,4,1)
  
  explain.cv(data)
    

F Fisher Distribution Function Explained

Description

Step by step demonstration of the fisher distribution calculus.

Usage

explain.fisher(x,y)

Arguments

x

Should be a vector

y

Should be a vector

Details

To calculate the fisher distribution, the user should give two vectors of numbers. The result is a continuous probability distribution that arises frequently as the null distribution of a test statistic. We can saw fisher distribution formule in the fisher_ help document.

Value

Numeric result and the process of this calculus explained.

Note

A vector is created by c(), like c(1,2,3,4,5) creates a vector with the numbers: 1,2,3,4,5

Author(s)

Jose Manuel Gomez Caceres, josemanuel.gomezc@edu.uah.es
Juan Jose Cuadrado, jjcg@uah.es
Universidad de Alcala de Henares

Examples

  
  #data creation
  data <- c(10,4,5,7,3,4,1)
  data2 <- c(1,8,3,4,4,5,7)
  
  explain.fisher(data, data2)
    

Geometric Mean Function Explained

Description

Step by step demonstration of the geometric mean calculus.

Usage

explain.geometricMean(x)

Arguments

x

Should be a numbers vector

Details

To calculate the geometric mean of a dataset, the user should give a vector. The result is the explained process to calculate the geometric mean, with the data of the dataset provided like argument. We can saw the geometric mean formule in the geometricMean_ help document.

Value

Numeric result and the process of this calculus explained.

Note

A vector is created by c(), like c(1,2,3,4,5) creates a vector with the numbers: 1,2,3,4,5

Author(s)

Dennis Monheimius, dennis.monhemimius@edu.uah.es
Eduardo Benito, eduardo.benito@edu.uah.es
Juan Jose Cuadrado, jjcg@uah.es
Universidad de Alcala de Henares

Examples

{
    #data creation
    data <- c(5,21,12,7,3,9,1)
    
    explain.geometricMean(data)
}
    

Harmonic Mean Function Explained

Description

Step by step demonstration of the harmonic mean calculus.

Usage

explain.harmonicMean(x)

Arguments

x

Should be a numbers vector

Details

To calculate the harmonic mean, the user should give a numbers vector. The result is the explained process to calculate the harmonic mean, with the data of the dataset provided like argument. We can saw the harmonic mean formule in the harmonicMean_ help document.

Value

Numeric result and the process of this calculus explained.

Note

A vector is created by c(), like c(1,2,3,4,5) creates a vector with the numbers: 1,2,3,4,5

Author(s)

Jose Manuel Gomez Caceres, josemanuel.gomezc@edu.uah.es
Juan Jose Cuadrado, jjcg@uah.es
Universidad de Alcala de Henares

Examples

  
  #data creation
  data <- c(10,4,5,7,3,4,1)
  
  explain.harmonicMean(data)
    

Laplace's Rule Function Explained

Description

Step by step demonstration of the Laplace's rule calculus.

Usage

explain.laplace(x,y)

Arguments

x

Should be a vector

y

Should be a vector

Details

To calculate the Laplace's rule, the user should give two vector (unfavorable cases/favorable cases). The result isas the quotient between the number of favorable cases to A, and that of all possible results of the experiment. We can saw the Laplace's rule correlation formule in the laplace_ help document.

Value

Numeric result and the process of this calculus explained.

Note

A vector is created by c(), like c(1,2,3,4,5) creates a vector with the numbers: 1,2,3,4,5

Author(s)

Jose Manuel Gomez Caceres, josemanuel.gomezc@edu.uah.es
Juan Jose Cuadrado, jjcg@uah.es
Universidad de Alcala de Henares

Examples

  
  #data creation
  data <- 3
  data2 <- c(1,2,3,4,5,6)
  
  explain.laplace(data, data2)
    

Mean Function Explained

Description

Step by step demonstration of the arithmetic mean calculus.

Usage

explain.mean(x)

Arguments

x

Should be a numbers vector

Details

To calculate the arithmetic mean of a dataset, the user should give a vector. The result is the explained process to calculate the arithmetic mean, with the data of the dataset provided like argument. We can saw the arithmetic mean formule in the mean_ help document.

Value

Numeric result and the process of this calculus explained.

Note

A vector is created by c(), like c(1,2,3,4,5) creates a vector with the numbers: 1,2,3,4,5

Author(s)

Dennis Monheimius, dennis.monhemimius@edu.uah.es
Eduardo Benito, eduardo.benito@edu.uah.es
Juan Jose Cuadrado, jjcg@uah.es
Universidad de Alcala de Henares

Examples

{
    #data creation
    data <- c(1,2,2,5,10,4,2)
    
    explain.mean(data)
}
    

Median Function Explained

Description

Step by step demonstration of the median calculus.

Usage

explain.median(x)

Arguments

x

Should be a numbers vector

Details

To calculate the median, the user should give a numbers vector. The result is the explained process to calculate the median, with the data of the dataset provided like argument. We can saw the median formule in the median_ help document.

Value

Numeric result and the process of this calculus explained.

Note

A vector is created by c(), like c(1,2,3,4,5) creates a vector with the numbers: 1,2,3,4,5

Author(s)

Dennis Monheimius, dennis.monhemimius@edu.uah.es
Eduardo Benito, eduardo.benito@edu.uah.es
Juan Jose Cuadrado, jjcg@uah.es
Universidad de Alcala de Henares

Examples

{
    #data creation
    data <- c(1,2,2,5,10,4,2)
    
    explain.median(data)
}

    

Mode Function Explained

Description

Step by step demonstration of the mode calculus.

Usage

explain.mode(x)

Arguments

x

Should be a numbers vector

Details

To calculate the mode, the user should give a numbers vector. The result is the explained process to calculate the mode, with the data of the dataset provided like argument. We can saw the mode formule in the mode_ help document.

Value

Numeric result and the process of this calculus explained.

Note

A vector is created by c(), like c(1,2,3,4,5) creates a vector with the numbers: 1,2,3,4,5

Author(s)

Dennis Monheimius, dennis.monhemimius@edu.uah.es
Eduardo Benito, eduardo.benito@edu.uah.es
Juan Jose Cuadrado, jjcg@uah.es
Universidad de Alcala de Henares

Examples

  {
    #data creation
    data <- c(1,1,2,5,2,3,1,4,1)
    
    explain.mode(data)
    
  }

Normal Distribution Function Explained

Description

Step by step demonstration of the normal distribution calculus.

Usage

explain.normal(x)

Arguments

x

Should be a number.

Details

To calculate the normal distribution, the user should give a number. The result isis a type of continuous probability distribution for a real-valued random variable. We can saw the normal distribution correlation formule in the normal_ help document.

Value

Numeric result and the process of this calculus explained.

Note

The variable is a number. Example: x <- 0.1

Author(s)

Jose Manuel Gomez Caceres, josemanuel.gomezc@edu.uah.es
Juan Jose Cuadrado, jjcg@uah.es
Universidad de Alcala de Henares

Examples


    #data creation
    x = 0.1
    
    explain.normal(x)
  

Pearson Correlation Function Explained

Description

Step by step demonstration of the pearson correlation calculus.

Usage

explain.pearson(x,y)

Arguments

x

Should be a vector

y

Should be a vector

Details

To calculate the pearson correlation, the user should give two vectors of numbers. The result is the covariance of the two vectors of numbers divided by the product of their standard deviations. We can saw the pearson correlation formule in the pearson_ help document.

Value

Numeric result and the process of this calculus explained.

Note

A vector is created by c(), like c(1,2,3,4,5) creates a vector with the numbers: 1,2,3,4,5

Author(s)

Jose Manuel Gomez Caceres, josemanuel.gomezc@edu.uah.es
Juan Jose Cuadrado, jjcg@uah.es
Universidad de Alcala de Henares

Examples

  
  #data creation
  data <- c(10,4,5,7,3,4,1)
  data2 <- c(1,8,3,4,4,5,7)
  
  explain.pearson(data, data2)
    

Percentiles Calculus Explained

Description

Step by step demonstration of the percentiles calculus

Usage

explain.percentile(x)

Arguments

x

Should be a vector

Details

To calculate the percentiles, the user should give a vector. We can saw the percentile formule in the percentile_ help document.

Value

A demonstration of the calculus process

Note

A vector is created by c(), like c(1,2,3,4,5) creates a vector with the numbers: 1,2,3,4,5

Author(s)

Dennis Monheimius, dennis.monhemimius@edu.uah.es
Eduardo Benito, eduardo.benito@edu.uah.es
Juan Jose Cuadrado, jjcg@uah.es
Universidad de Alcala de Henares

Examples

{
    #data creation
    data <- c(1,2,2,5,10,4,2)
    
    explain.percentile(data)
}
    

Poisson Distribution Function Explained

Description

Step by step demonstration of the Poisson distribution calculus.

Usage

explain.poisson(k,lam)

Arguments

k

Should be a numbers

lam

Should be a numbers

Details

To calculate the Poisson distribution, the user should give two number ( the number of times the phenomenon and the number of occurrences). The result is a discrete probability distribution that expresses, from a mean frequency of occurrence, the probability that a certain number of events will occur during a certain period of time. We can saw the Poisson distribution correlation formule in the poisson_ help document.

Value

Numeric result and the process of this calculus explained.

Note

Each variable is a number. Example: lam <- 2 | k <- 3

Author(s)

Jose Manuel Gomez Caceres, josemanuel.gomezc@edu.uah.es
Juan Jose Cuadrado, jjcg@uah.es
Universidad de Alcala de Henares

Examples


    #data creation
    lam = 2
    k = 3
    explain.poisson(k,lam)
  

Quartiles Calculus Explained

Description

Step by step demonstration of the quartiles calculus

Usage

explain.quartile(x)

Arguments

x

Should be a vector

Details

To calculate the quartiles, the user should give a vector. We can saw the quartile formule in the quartile_ help document.

Value

A demonstration of the calculus process

Note

A vector is created by c(), like c(1,2,3,4,5) creates a vector with the numbers: 1,2,3,4,5

Author(s)

Dennis Monheimius, dennis.monhemimius@edu.uah.es
Eduardo Benito, eduardo.benito@edu.uah.es
Juan Jose Cuadrado, jjcg@uah.es
Universidad de Alcala de Henares

Examples

{
    #data creation
    data <- c(1,2,2,5,10,4,2)
    
    explain.quartile(data)
}
    

Relative Accumulated Frecuency Calculus Explained

Description

Step by step demonstration of the relative accumulated frecuency calculus

Usage

explain.relative_acum_frecuency(v,x)

Arguments

v

Should be a vector

x

Should be a numebr of the vector

Details

To calculate the relative accumulated frecuency, the user should give a vector and a number. We can saw the relative accumulated frecuency formule in the frecuency_acum_relative help document.

Value

A demonstration of the calculus process

Note

A vector is created by c(), like c(1,2,3,4,5) creates a vector with the numbers: 1,2,3,4,5

Author(s)

Dennis Monheimius, dennis.monhemimius@edu.uah.es
Eduardo Benito, eduardo.benito@edu.uah.es
Juan Jose Cuadrado, jjcg@uah.es
Universidad de Alcala de Henares

Examples

{
    #data creation
    data <- c(1,2,2,5,10,4,2)
    value = 2
    #function execution
    explain.relative_acum_frecuency(data, value)
}
    

Relative Frecuency Calculus Explained

Description

Step by step demonstration of the relative frecuency calculus

Usage

explain.relative_frecuency(v,x)

Arguments

v

Should be a vector

x

Should be a number

Details

To calculate the relative frecuency, the user should give a vector and a number. We can saw the relative frecuency formule in the frecuency_relative help document.

Value

A demonstration of the calculus process

Note

A vector is created by c(), like c(1,2,3,4,5) creates a vector with the numbers: 1,2,3,4,5

Author(s)

Dennis Monheimius, dennis.monhemimius@edu.uah.es
Eduardo Benito, eduardo.benito@edu.uah.es
Juan Jose Cuadrado, jjcg@uah.es
Universidad de Alcala de Henares

Examples

{
    #data creation
    data <- c(1,2,2,5,10,4,2)
    value = 2
    #function execution
    explain.relative_frecuency(data, value)
}
    

Standard Deviation Function Explained

Description

Step by step demonstration of the standard deviation calculus.

Usage

explain.standardDeviation(x)

Arguments

x

Should be a numbers vector

Details

To calculate the standard deviation, the user should give a numbers vector. The result is the explained process to calculate the standard deviation, with the data of the dataset provided like argument. We can saw the standard deviation formule in the standardDeviation_ help document.

Value

Numeric result and the process of this calculus explained.

Note

A vector is created by c(), like c(1,2,3,4,5) creates a vector with the numbers: 1,2,3,4,5

Author(s)

Dennis Monheimius, dennis.monhemimius@edu.uah.es
Eduardo Benito, eduardo.benito@edu.uah.es
Juan Jose Cuadrado, jjcg@uah.es
Universidad de Alcala de Henares

Examples


    #data creation
    data <- c(1,5,3,7,10,4,2)
    
    explain.standardDeviation(data)

T-Student Distribution Function Explained

Description

Step by step demonstration of the T-Student distribution calculus.

Usage

explain.tstudent(x,u,s,n)

Arguments

x

Should be a number

u

Should be a number

s

Should be a number

n

Should be a number

Details

To calculate the T-Student distribution, the user should give four number (sample mean, population mean, population standard deviation and sample size). The result is a probability distribution that arises from the problem of estimating the mean of a normally distributed population when the sample size is small. We can saw the T-Student distribution formule in the tstudent_ help document.

Value

Numeric result and the process of this calculus explained.

Note

Each variable is a number. Example: x <- 2 | y <- 4

Author(s)

Jose Manuel Gomez Caceres, josemanuel.gomezc@edu.uah.es
Juan Jose Cuadrado, jjcg@uah.es
Universidad de Alcala de Henares

Examples

  
   #data creation
    x = 52.9
    u = 50
    s = 3
    n = 10
    
    explain.tstudent(x,u,s,n)
    

Variance Function Explained

Description

Step by step demonstration of the variance calculus.

Usage

explain.variance(x)

Arguments

x

Should be a numbers vector

Details

To calculate the variance, the user should give a numbers vector. The result is the explained process to calculate the variance, with the data of the dataset provided like argument. We can saw the variance formule in the variance_ help document.

Value

Numeric result and the process of this calculus explained.

Note

A vector is created by c(), like c(1,2,3,4,5) creates a vector with the numbers: 1,2,3,4,5

Author(s)

Dennis Monheimius, dennis.monhemimius@edu.uah.es
Eduardo Benito, eduardo.benito@edu.uah.es
Juan Jose Cuadrado, jjcg@uah.es
Universidad de Alcala de Henares

Examples

  
  #data creation
  data <- c(10,4,5,7,3,4,1)
  
  explain.variance(data)
    

F Fisher Distribution Calculus Function

Description

This function calculates the fisher distribution of a numbers vector.

Usage

fisher_(x,y)

Arguments

x

Should be a vector

y

Should be a vector

Details

To calculate the fisher distribution, the user should give two vectors of numbers. The result is a continuous probability distribution that arises frequently as the null distribution of a test statistic. The fisher distributionformule is the following:
fisher.jpg

Value

Numeric, the fisher distribution.

Note

A vector is created by c(), like c(1,2,3,4,5) creates a vector with the numbers: 1,2,3,4,5

Author(s)

Jose Manuel Gomez Caceres, josemanuel.gomezc@edu.uah.es
Juan Jose Cuadrado, jjcg@uah.es
Universidad de Alcala de Henares

Examples


    #data creation
    x <- c(70,75,74,72,68,59)
    y <- c(74,77,70,80,72,76)
    
    fisher_(x,y)
  

Absolute Frecuency Calculus

Description

This function calculate the number of times that a specific number appears in the data set.

Usage

frecuency_abs(v,x)

Arguments

v

Should be a vector

x

Should be a number

Details

The absolute frecuency formula is the following:
absolutefrec.jpg

Value

An integer that represents the number of times that the value appears in the vector

Note

A vector is created by c(), like c(1,2,3,4,5) creates a vector with the numbers: 1,2,3,4,5

Author(s)

Dennis Monheimius, dennis.monhemimius@edu.uah.es
Eduardo Benito, eduardo.benito@edu.uah.es
Juan Jose Cuadrado, jjcg@uah.es
Universidad de Alcala de Henares

Examples

  {
    #data creation
    data = c(1,4,3,3,2,5,7,12,1,2,3,12)
    value = 12
    #function execution
    frecuency_abs(data, value)
  }

Accumulated Absolute Frecuency Calculus

Description

This function calculate the number of times that a specific number appears in the data set. The value depends on the elements that are lower than itself

Usage

frecuency_absolute_acum(v,x)

Arguments

v

Should be a vector

x

Should be a number

Details

The accumulated absolute frecuency formula is the following:
absoluteacumfrec.jpg

Value

A double that represents the number of times that the value appears in the vector regarding the total of elements

Note

A vector is created by c(), like c(1,2,3,4,5) creates a vector with the numbers: 1,2,3,4,5

Author(s)

Dennis Monheimius, dennis.monhemimius@edu.uah.es
Eduardo Benito, eduardo.benito@edu.uah.es
Juan Jose Cuadrado, jjcg@uah.es
Universidad de Alcala de Henares

Examples

{ 
    #data creation
    data = c(1,4,3,3,2,5,7,12,1,2,3,12)
    value = 12
    #function execution
    frecuency_absolute_acum(data, value)
    
    }

Relative Frecuency Calculus

Description

This function calculate the number of times that a specific number appears in the data set divided by the total length of the vector.

Usage

frecuency_relative(v,x)

Arguments

v

Should be a vector

x

Should be a number

Details

The relative frecuency formula is the following:
relativefrec.jpg

Value

A double that represents the number of times that the value appears in the vector regarding the total of elements

Note

A vector is created by c(), like c(1,2,3,4,5) creates a vector with the numbers: 1,2,3,4,5

Author(s)

Dennis Monheimius, dennis.monhemimius@edu.uah.es
Eduardo Benito, eduardo.benito@edu.uah.es
Juan Jose Cuadrado, jjcg@uah.es
Universidad de Alcala de Henares

Examples

    {
    #data creation
    data <- c(1,4,3,3,2,5,7,12,1,2,3,12)
    value = 12
    frecuency_relative(data, value)
    }

Accumulated Relative Frecuency Calculus

Description

This function calculate the number of times that a specific number appears in the data set divided by the total length of the vector. The value depends on the elements that are lower than itself

Usage

frecuency_relative_acum(v,x)

Arguments

v

Should be a vector

x

Should be a number

Details

The accumulated relative frecuency formula is the following:
relativeacumfrec.jpg

Value

A double that represents the number of times that the value appears in the vector regarding the total of elements

Note

A vector is created by c(), like c(1,2,3,4,5) creates a vector with the numbers: 1,2,3,4,5

Author(s)

Dennis Monheimius, dennis.monhemimius@edu.uah.es
Eduardo Benito, eduardo.benito@edu.uah.es
Juan Jose Cuadrado, jjcg@uah.es
Universidad de Alcala de Henares

Examples

{
    #data creation
    data = c(1,4,3,3,2,5,7,12,1,2,3,12)
    value = 12
    #function execution
    frecuency_relative_acum(data, value)
    
    }

Geometric Mean Function

Description

This function calculates the geometric mean of a numbers vector.

Usage

geometricMean_(x)

Arguments

x

Should be a numbers vector

Details

To calculate the geometric mean of a dataset, the user should give a numbers vector. The result is the product of all vector elements raise to 1 divided by the number of elements. The arithmetic mean formule is the following:
gmean.jpg

Value

A numeric, the geometric mean of the numbers vector.

Note

A vector is created by c(), like c(1,2,3,4,5) creates a vector with the numbers: 1,2,3,4,5

Author(s)

Dennis Monheimius, dennis.monhemimius@edu.uah.es
Eduardo Benito, eduardo.benito@edu.uah.es
Juan Jose Cuadrado, jjcg@uah.es
Universidad de Alcala de Henares

Examples

  #data creation
  data = c(1:20)
  
  geometricMean_(data)

Get User Action Funcion

Description

This function get the buffer introduced by the user. Typically a numerical vector.

Usage

getUserAction()

Value

A vector

Note

The process is interactive with the user

Author(s)

Dennis Monheimius, dennis.monhemimius@edu.uah.es
Eduardo Benito, eduardo.benito@edu.uah.es
Juan Jose Cuadrado, jjcg@uah.es
Universidad de Alcala de Henares

Examples

{
  ## Not run: 
  vector <- getUserAction()
  
## End(Not run)
  }

Harmonic Mean Function

Description

This function calculates the harmonic mean of a numbers vector.

Usage

harmonicMean_ (x)

Arguments

x

Should be a numbers vector

Details

To calculate the harmonic mean, the user should give a numbers vector. The result is calculated by dividing the number of observations by the reciprocal of each number in the vector. The harmonic mean formule is the following:
harmonicMean.jpg

Value

Numeric, the harmonic mean of the numbers vector.

Note

A vector is created by c(), like c(1,2,3,4,5) creates a vector with the numbers: 1,2,3,4,5

Author(s)

Jose Manuel Gomez Caceres, josemanuel.gomezc@edu.uah.es
Juan Jose Cuadrado, jjcg@uah.es
Universidad de Alcala de Henares

Examples


    #data creation
    data = c(1,4,3,3,2,5,7,12,1,2,3,12)
    
    harmonicMean_(data)
  

Init Images Function

Description

This function is used to display an image.

Usage

initImages(path)

Arguments

path

An url of an image

Value

There isn't return value

Note

The path shold be toward an image

Author(s)

Dennis Monheimius, dennis.monhemimius@edu.uah.es
Eduardo Benito, eduardo.benito@edu.uah.es
Juan Jose Cuadrado, jjcg@uah.es
Universidad de Alcala de Henares

Examples

{

  ## Not run: 
    path = "https://i.imgur.com/8237YhzJ.png"
  initImages(path)

  
## End(Not run)
  }

User Interactive Absolute Accumulated Frecuency Calculus

Description

Interactive function for absolute accumulated frecuency calculus.

Usage

interactive.absolute_acum_frecuency()

Details

The user provides the dataset when the function needs it. After that, the function will ask what is the correct result for this dataset. The function itself will provide the formula.

Value

An interactive process to calculate the absolute accumulated frecuency

Author(s)

Dennis Monheimius, dennis.monhemimius@edu.uah.es
Eduardo Benito, eduardo.benito@edu.uah.es
Juan Jose Cuadrado, jjcg@uah.es
Universidad de Alcala de Henares

Examples

    
  ## Not run: 
  interactive.absolute_acum_frecuency()
  
## End(Not run)

User Interactive Absolute Frecuency Calculus

Description

Interactive function for absolute frecuency calculus.

Usage

interactive.absolute_frecuency()

Details

The user provides the dataset when the function needs it. After that, the function will ask what is the correct result for this dataset. The function itself will provide the formula.

Value

An interactive process to calculate the absolute frecuency

Author(s)

Dennis Monheimius, dennis.monhemimius@edu.uah.es
Eduardo Benito, eduardo.benito@edu.uah.es
Juan Jose Cuadrado, jjcg@uah.es
Universidad de Alcala de Henares

Examples


  ## Not run: 
  interactive.absolute_frecuency()
  
## End(Not run)


User Interactive Average Absolute Deviation Calculus

Description

Interactive function for average absolute deviation calculus.

Usage

interactive.averageDeviation()

Details

The user provides the dataset when the function needs it. After that, the function will ask what is the correct result for this dataset. The function itself will provide the average absolute deviation formule, apart from the averageDeviation_ help document.

Value

An interactive process to calculate the average absolute deviation

Author(s)

Dennis Monheimius, dennis.monhemimius@edu.uah.es
Eduardo Benito, eduardo.benito@edu.uah.es

References

https://en.wikipedia.org/wiki/Average_absolute_deviation

Examples


   ## Not run: 
  interactive.averageDeviation()
  
## End(Not run)


User Interactive Binomial Distribution Calculus

Description

Interactive function for binomial distribution calculus.

Usage

interactive.binomial()

Details

The user provides the values when the function needs it. After that, the function will ask what is the correct result for this datas. The function itself will provide the binomial distribution formule, apart from the binomial_ help document.

Value

An interactive process to calculate the binomial distribution.

Author(s)

Jose Manuel Gomez Caceres, josemanuel.gomezc@edu.uah.es
Juan Jose Cuadrado, jjcg@uah.es
Universidad de Alcala de Henares

Examples


  ## Not run: 
  interactive.binomial()
  
## End(Not run)
 

User Interactive Chisquared Distribution Calculus

Description

Interactive function for chisquared distribution calculus.

Usage

interactive.chisquared()

Details

The user provides the datasets when the function needs it. After that, the function will ask what is the correct result for this dataset. The function itself will provide the chisquared distribution formule, apart from the chisquared_ help document.

Value

An interactive process to calculate the chisquared distribution

Author(s)

Jose Manuel Gomez Caceres, josemanuel.gomezc@edu.uah.es
Juan Jose Cuadrado, jjcg@uah.es
Universidad de Alcala de Henares

Examples


  ## Not run: 
  interactive.chisquared()
  
## End(Not run)
 

User Interactive Covariance Calculus

Description

Interactive function for covariance calculus.

Usage

interactive.covariance()

Details

The user provides the datasets when the function needs it. After that, the function will ask what is the correct result for this dataset. The function itself will provide the covariance formule, apart from the covariance_ help document.

Value

An interactive process to calculate the covariance

Author(s)

Jose Manuel Gomez Caceres, josemanuel.gomezc@edu.uah.es
Juan Jose Cuadrado, jjcg@uah.es
Universidad de Alcala de Henares

Examples


  ## Not run: 
  interactive.covariance()
  
## End(Not run)
 

User Interactive Coefficient of Variation Calculus

Description

Interactive function for Coefficient of Variation calculus.

Usage

interactive.cv()

Details

The user provides the dataset when the function needs it. After that, the function will ask what is the correct result for this dataset. The function itself will provide the coefficient of variation formule, apart from the cv_ help document.

Value

An interactive process to calculate the average absolute deviation

Author(s)

Jose Manuel Gomez Caceres, josemanuel.gomezc@edu.uah.es
Juan Jose Cuadrado, jjcg@uah.es
Universidad de Alcala de Henares

Examples


  ## Not run: 
  interactive.cv()
  
## End(Not run)
 

User Interactive F Fisher Distribution Calculus

Description

Interactive function for fisher distribution calculus.

Usage

interactive.fisher()

Details

The user provides the datasets when the function needs it. After that, the function will ask what is the correct result for this datasets. The function itself will provide the fisher distribution formule, apart from the fisher_ help document.

Value

An interactive process to calculate the fisher distribution

Author(s)

Jose Manuel Gomez Caceres, josemanuel.gomezc@edu.uah.es
Juan Jose Cuadrado, jjcg@uah.es
Universidad de Alcala de Henares

Examples


  ## Not run: 
  interactive.fisher()
  
## End(Not run)
 

User Interactive Geometric Mean Calculus

Description

Interactive function for geometric mean calculus.

Usage

interactive.geometricMean()

Details

The user provides the dataset when the function needs it. After that, the function will ask what is the correct result for this dataset. The function itself will provide the geometric mean formule, apart from the geometricMean_ help document.

Value

An interactive process to calculate the geometric mean.

Author(s)

Dennis Monheimius, dennis.monhemimius@edu.uah.es
Eduardo Benito, eduardo.benito@edu.uah.es
Juan Jose Cuadrado, jjcg@uah.es
Universidad de Alcala de Henares

Examples


  ## Not run: 
  interactive.geometricMean()
  
## End(Not run)
  

User Interactive Harmonic Mean Calculus

Description

Interactive function for harmonic mean calculus.

Usage

interactive.harmonicMean()

Details

The user provides the dataset when the function needs it. After that, the function will ask what is the correct result for this dataset. The function itself will provide the harmonic mean formule, apart from the harmonicMean_ help document.

Value

An interactive process to calculate the harmonic mean

Author(s)

Jose Manuel Gomez Caceres, josemanuel.gomezc@edu.uah.es
Juan Jose Cuadrado, jjcg@uah.es
Universidad de Alcala de Henares

Examples


  ## Not run: 
  interactive.harmonicMean()
  
## End(Not run)
 

User Interactive Laplace's Rule Calculus

Description

Interactive function for Laplace's rule calculus.

Usage

interactive.laplace()

Details

The user provides the values when the function needs it. After that, the function will ask what is the correct result for this datas. The function itself will provide the Laplace's rule formule, apart from the laplace_ help document.

Value

An interactive process to calculate the Laplace's rule.

Author(s)

Jose Manuel Gomez Caceres, josemanuel.gomezc@edu.uah.es
Juan Jose Cuadrado, jjcg@uah.es
Universidad de Alcala de Henares

Examples


  ## Not run: 
  interactive.laplace()
  
## End(Not run)
 

User Interactive Mean Calculus

Description

Interactive function for arithmetic mean calculus.

Usage

interactive.mean()

Details

The user provides the dataset when the function needs it. After that, the function will ask what is the correct result for this dataset. The function itself will provide the arithmetic mean formule, apart from the mean_ help document.

Value

An interactive process to calculate the arithmetic mean.

Author(s)

Dennis Monheimius, dennis.monhemimius@edu.uah.es
Eduardo Benito, eduardo.benito@edu.uah.es
Juan Jose Cuadrado, jjcg@uah.es
Universidad de Alcala de Henares

Examples

{
  
  ## Not run: 
  interactive.mean()
  
## End(Not run)
}

User Interactive Median Calculus

Description

Interactive function for median calculus.

Usage

interactive.median()

Details

The user provides the dataset when the function needs it. After that, the function will ask what is the correct result for this dataset. The function itself will provide the median formule, apart from the median_ help document.

Value

An interactive process to calculate the median

Author(s)

Dennis Monheimius, dennis.monhemimius@edu.uah.es
Eduardo Benito, eduardo.benito@edu.uah.es
Juan Jose Cuadrado, jjcg@uah.es
Universidad de Alcala de Henares

Examples


  ## Not run: 
  interactive.median()
  
## End(Not run)


User Interactive Mode Calculus

Description

Interactive function for mode calculus.

Usage

interactive.mode()

Details

The user provides the dataset when the function needs it. After that, the function will ask what is the correct result for this dataset.

Value

An interactive process to calculate the mode.

Author(s)

Dennis Monheimius, dennis.monhemimius@edu.uah.es
Eduardo Benito, eduardo.benito@edu.uah.es
Juan Jose Cuadrado, jjcg@uah.es
Universidad de Alcala de Henares

Examples


  ## Not run: 
  interactive.mode()
  
## End(Not run)


User Interactive Normal Distribution Calculus

Description

Interactive function for normal distribution calculus.

Usage

interactive.normal()

Details

The user provides the values when the function needs it. After that, the function will ask what is the correct result for this data. The function itself will provide the normal distribution formule, apart from the normal_ help document.

Value

An interactive process to calculate the normal distribution.

Author(s)

Jose Manuel Gomez Caceres, josemanuel.gomezc@edu.uah.es
Juan Jose Cuadrado, jjcg@uah.es
Universidad de Alcala de Henares

Examples


  ## Not run: 
  interactive.normal()
  
## End(Not run)
 

User Interactive Pearson Correlation Calculus

Description

Interactive function for pearson correlation calculus.

Usage

interactive.pearson()

Details

The user provides the datasets when the function needs it. After that, the function will ask what is the correct result for this dataset. The function itself will provide the pearson correlation formule, apart from the pearson_ help document.

Value

An interactive process to calculate the pearson correlation.

Author(s)

Jose Manuel Gomez Caceres, josemanuel.gomezc@edu.uah.es
Juan Jose Cuadrado, jjcg@uah.es
Universidad de Alcala de Henares

Examples


  ## Not run: 
  interactive.pearson()
  
## End(Not run)
 

User Interactive Percentile Calculus

Description

Interactive function for percentiles calculus.

Usage

interactive.percentile()

Details

The user provides the dataset when the function needs it. After that, the function will ask what is the correct result for this dataset. The function itself will provide the formula.

Value

An interactive process to calculate the percentiles

Author(s)

Dennis Monheimius, dennis.monhemimius@edu.uah.es
Eduardo Benito, eduardo.benito@edu.uah.es
Juan Jose Cuadrado, jjcg@uah.es
Universidad de Alcala de Henares

Examples


  ## Not run: 
  interactive.percentile()
  
## End(Not run)


User Interactive Poisson Distribution Calculus

Description

Interactive function for Poisson distribution calculus.

Usage

interactive.poisson()

Details

The user provides the values when the function needs it. After that, the function will ask what is the correct result for this datas. The function itself will provide the Poisson distribution formule, apart from the poisson_ help document.

Value

An interactive process to calculate the Poisson distribution.

Author(s)

Jose Manuel Gomez Caceres, josemanuel.gomezc@edu.uah.es
Juan Jose Cuadrado, jjcg@uah.es
Universidad de Alcala de Henares

Examples


  ## Not run: 
  interactive.poisson()
  
## End(Not run)
 

User Interactive Quartiles Calculus

Description

Interactive function for quartiles calculus.

Usage

interactive.quartile()

Details

The user provides the dataset when the function needs it. After that, the function will ask what is the correct result for this dataset. The function itself will provide the formula.

Value

An interactive process to calculate the quartiles

Author(s)

Dennis Monheimius, dennis.monhemimius@edu.uah.es
Eduardo Benito, eduardo.benito@edu.uah.es
Juan Jose Cuadrado, jjcg@uah.es
Universidad de Alcala de Henares

Examples


  ## Not run: 
  interactive.quartile()
  
## End(Not run)


User Interactive Relative Accumulated Frecuency Calculus

Description

Interactive function for relative accumulated frecuency calculus.

Usage

interactive.relative_acum_frecuency()

Details

The user provides the dataset when the function needs it. After that, the function will ask what is the correct result for this dataset. The function itself will provide the formula.

Value

An interactive process to calculate the relative accumulated frecuency

Author(s)

Dennis Monheimius, dennis.monhemimius@edu.uah.es
Eduardo Benito, eduardo.benito@edu.uah.es
Juan Jose Cuadrado, jjcg@uah.es
Universidad de Alcala de Henares

Examples


  ## Not run: 
  interactive.relative_acum_frecuency()
  
## End(Not run)


User Interactive Relative Frecuency Calculus

Description

Interactive function for relative frecuency calculus.

Usage

interactive.relative_frecuency()

Details

The user provides the dataset when the function needs it. After that, the function will ask what is the correct result for this dataset. The function itself will provide the formula.

Value

An interactive process to calculate the relative frecuency

Author(s)

Dennis Monheimius, dennis.monhemimius@edu.uah.es
Eduardo Benito, eduardo.benito@edu.uah.es
Juan Jose Cuadrado, jjcg@uah.es
Universidad de Alcala de Henares

Examples


  ## Not run: 
  interactive.relative_frecuency()
  
## End(Not run)


User Interactive Standard Deviation Calculus

Description

Interactive function for standard deviation calculus.

Usage

interactive.standardDeviation()

Details

The user provides the dataset when the function needs it. After that, the function will ask what is the correct result for this dataset. The function itself will provide the standard deviation formule, apart from the standardDeviation_ help document.

Value

An interactive process to calculate the standard deviation

Author(s)

Dennis Monheimius, dennis.monhemimius@edu.uah.es
Eduardo Benito, eduardo.benito@edu.uah.es

References

https://en.wikipedia.org/wiki/Standard_deviation

Examples


   ## Not run: 
  interactive.standardDeviation()
  
## End(Not run)
  

User Interactive T-Student Distribution Calculus

Description

Interactive function for T-Student distribution calculus.

Usage

interactive.tstudent()

Details

The user provides the values when the function needs it. After that, the function will ask what is the correct result for this datas. The function itself will provide the T-Students distribution formule, apart from the tstudent_ help document.

Value

An interactive process to calculate the T-Student distribution.

Author(s)

Jose Manuel Gomez Caceres, josemanuel.gomezc@edu.uah.es
Juan Jose Cuadrado, jjcg@uah.es
Universidad de Alcala de Henares

Examples


  ## Not run: 
  interactive.tstudent()
  
## End(Not run)
 

User Interactive Variance Calculus

Description

Interactive function for variance calculus.

Usage

interactive.variance()

Details

The user provides the dataset when the function needs it. After that, the function will ask what is the correct result for this dataset. The function itself will provide the variance formule, apart from the variance_ help document.

Value

An interactive process to calculate the average absolute deviation

Author(s)

Dennis Monheimius, dennis.monhemimius@edu.uah.es
Eduardo Benito, eduardo.benito@edu.uah.es
Juan Jose Cuadrado, jjcg@uah.es
Universidad de Alcala de Henares

Examples


  ## Not run: 
  interactive.variance()
  
## End(Not run)
 

Laplace's Rule Calculus Function

Description

This function calculates the Laplace's rule of experiment.

Usage

laplace_(x,y)

Arguments

x

Should be a vector

y

Should be a vector

Details

To calculate the Laplace's rule, the user should give two vector (unfavorable cases/favorable cases). The result isas the quotient between the number of favorable cases to A, and that of all possible results of the experiment. The Laplace's rule formule is the following:
laplace.jpg

Value

Numeric, the pearson correlation.

Note

A vector is created by c(), like c(1,2,3,4,5) creates a vector with the numbers: 1,2,3,4,5

Author(s)

Jose Manuel Gomez Caceres, josemanuel.gomezc@edu.uah.es
Juan Jose Cuadrado, jjcg@uah.es
Universidad de Alcala de Henares

Examples


    #data creation
    data = 3
    data2 = c(1,2,3,4,5,6)
    laplace_(data, data2)
  

Mean Function Developed in C

Description

This function calculates the arithmetic mean of a numbers vector.

Usage

meanC(x)

Arguments

x

Should be a numbers vector

Details

To calculate the arithmetic mean of a dataset, the user should give a numbers vector. The result is the addition of all vector elements divided by the number of elements. The arithmetic mean formule is the following:
amean.jpg

Value

A numeric, the arithmetic mean of the numbers vector.

Note

A vector is created by c(), like c(1,2,3,4,5) creates a vector with the numbers: 1,2,3,4,5

Author(s)

Dennis Monheimius, dennis.monhemimius@edu.uah.es
Eduardo Benito, eduardo.benito@edu.uah.es
Juan Jose Cuadrado, jjcg@uah.es
Universidad de Alcala de Henares

Examples

  
  #data creation
  vector = c(1:10)
  meanC(vector)
  

Mean Calculus Function

Description

This function calculates the arithmetic mean of a numbers vector.

Usage

mean_(x)

Arguments

x

Should be a numbers vector

Details

To calculate the arithmetic mean of a dataset, the user should give a numbers vector. The result is the addition of all vector elements divided by the number of elements. The arithmetic mean formule is the following:
amean.jpg

Value

A numeric, the arithmetic mean of the numbers vector.

Note

A vector is created by c(), like c(1,2,3,4,5) creates a vector with the numbers: 1,2,3,4,5

Author(s)

Dennis Monheimius, dennis.monhemimius@edu.uah.es
Eduardo Benito, eduardo.benito@edu.uah.es
Juan Jose Cuadrado, jjcg@uah.es
Universidad de Alcala de Henares

Examples


vector <- c(2,4,6,8,10,12,14,16,18)
result = mean_(vector)
result
  

Median Calculus Function

Description

This function calculates the median of a numbers vector.

Usage

	median_(x)

Arguments

x

Should be a numbers vector

Details

To calculate the median, the user should give a numbers vector. The result is the value separating the higher half from the lower half of the dataset, it may be thought of as the middle value. The median formule is the following:

Value

A numeric, the median of the numbers vector.

Note

A vector is created by c(), like c(1,2,3,4,5) creates a vector with the numbers: 1,2,3,4,5

Author(s)

Dennis Monheimius, dennis.monhemimius@edu.uah.es
Eduardo Benito, eduardo.benito@edu.uah.es
Juan Jose Cuadrado, jjcg@uah.es
Universidad de Alcala de Henares

Examples

{

result = median_(c(1,3,2,5,12,4,4,2,9))
result
}

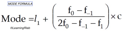
Mode Calculus Function

Description

This function calculates the mode of a numbers vector.

Usage

mode_(x)

Arguments

x

Should be a numbers vector

Details

To calculate the mode of a dataset, the user should give a numbers vector. The result is the numeric value that appears most often. In other words, it's the value that is most likely to be sampled. The mode formule is the following:
mode.jpg

Value

Numeric, the mode of the numbers vector.

Note

A vector is created by c(), like c(1,2,3,4,5) creates a vector with the numbers: 1,2,3,4,5

Author(s)

Dennis Monheimius, dennis.monhemimius@edu.uah.es
Eduardo Benito, eduardo.benito@edu.uah.es
Juan Jose Cuadrado, jjcg@uah.es
Universidad de Alcala de Henares

Examples

{

    #data creation
    data = c(1,2,2,3,4)
    
    mode_(data)
  
}

Normal Distribution Calculus Function

Description

This function calculates the normal distribution of experiment.

Usage

normal_(x)

Arguments

x

Should be a numbers.

Details

To calculate the normal distribution, the user should give a number. The result isis a type of continuous probability distribution for a real-valued random variable. The normal distribution formule is the following:
normal.jpg

Value

Numeric, the normal distribution.

Note

The variable is a number. Example: x <- 0.1

Author(s)

Jose Manuel Gomez Caceres, josemanuel.gomezc@edu.uah.es
Juan Jose Cuadrado, jjcg@uah.es
Universidad de Alcala de Henares

Examples


    #data creation
    x = 0.1
  
    normal_(x)
  

Pearson Correlation Calculus Function

Description

This function calculates the pearson correlation of two vectors of numbers.

Usage

pearson_(x,y)

Arguments

x

Should be a vector

y

Should be a vector

Details

To calculate the pearson correlation, the user should give two vectors of numbers. The result is the covariance of the two vectors of numbers divided by the product of their standard deviations. The pearson correlation formule is the following:
pearson.jpg

Value

Numeric, the pearson correlation of two vectors of numbers.

Note

A vector is created by c(), like c(1,2,3,4,5) creates a vector with the numbers: 1,2,3,4,5

Author(s)

Jose Manuel Gomez Caceres, josemanuel.gomezc@edu.uah.es
Juan Jose Cuadrado, jjcg@uah.es
Universidad de Alcala de Henares

Examples


    #data creation
    data = c(1,4,3,3,2,5,7,12,1,2,3,12)
    data2 = c(1,2,4,4,6,5,11,2,10,5,6,1)
    pearson_(data, data2)
  

Percentile Calculus Function

Description

This function calculate the percentiles of a vector of numbers

Usage

percentile_(x, p)

Arguments

x

Should be a vector

p

Should be a number, 0 => y =< 1

Details

To calculate the percentiles, the user should give a vector. This function divide the dataset in 100 parts as equal as possible. The formula is the following:
percentile.jpg

Value

A vector sorted with the elements divided by 100 parts

Note

A vector is created by c(), like c(1,2,3,4,5) creates a vector with the numbers: 1,2,3,4,5

Author(s)

Dennis Monheimius, dennis.monhemimius@edu.uah.es
Eduardo Benito, eduardo.benito@edu.uah.es
Juan Jose Cuadrado, jjcg@uah.es
Universidad de Alcala de Henares

Examples

{
    #data creation
    data = c(1,4,3,3,2,5,7,12,1,2,3,12)
    
    percentile_(data,0.3)
    
}

Poisson Distribution Calculus Function

Description

This function calculates the Poisson distribution of experiment.

Usage

poisson_(k,lam)

Arguments

k

Should be a numbers

lam

Should be a numbers

Details

To calculate the Poisson distribution, the user should give two number ( the number of times the phenomenon and the number of occurrences). The result is a discrete probability distribution that expresses, from a mean frequency of occurrence, the probability that a certain number of events will occur during a certain period of time. The Poisson distribution formule is the following:
poisson.jpg

Value

Numeric, the pearson correlation of two numbers.

Note

Each variable is a number. Example: lam <- 2 | k <- 3

Author(s)

Jose Manuel Gomez Caceres, josemanuel.gomezc@edu.uah.es
Juan Jose Cuadrado, jjcg@uah.es
Universidad de Alcala de Henares

Examples


    #data creation
    lam = 2
    k = 3
    poisson_(k,lam)
  

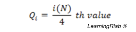
Quartiles Calculus

Description

Calculates the 3 Quartiles of a vector of data

Usage

quartile_(x)

Arguments

x

Should be a vector

Details

To calculate the quartiles, the user should give a vector. This function divide the dataset in 4 parts as equal as possible. The formula is the following:
quartile.jpg

Value

A vector sorted with the elements divided by 4 parts

Note

A vector is created by c(), like c(1,2,3,4,5) creates a vector with the numbers: 1,2,3,4,5

Author(s)

Dennis Monheimius, dennis.monhemimius@edu.uah.es
Eduardo Benito, eduardo.benito@edu.uah.es
Juan Jose Cuadrado, jjcg@uah.es
Universidad de Alcala de Henares

Examples

{
    #data creation
    data = c(1:20)
    
    quartile_(data)
   
    }

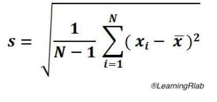
Standard Deviation Calculus Function

Description

This function calculates the standard deviation of a numbers vector.

Usage

standardDeviation_(x)

Arguments

x

Should be a numbers vector

Details

To calculate the standard deviation, the user should give a numbers vector. The result is the square root of the sum of the differences between each vector element and the mean squared divided by the number of elemets. The standard deviation formule is the following:
sdeviat.jpg

Value

Numeric, the standard deviation of the numbers vector.

Note

A vector is created by c(), like c(1,2,3,4,5) creates a vector with the numbers: 1,2,3,4,5

Author(s)

Dennis Monheimius, dennis.monhemimius@edu.uah.es
Eduardo Benito, eduardo.benito@edu.uah.es
Juan Jose Cuadrado, jjcg@uah.es
Universidad de Alcala de Henares

Examples

    
    #data creation
    data = c(1,4,3,3,2,5,7,12,1,2,3,12)
    
    standardDeviation_(data)
  

T-Student Distribution Calculus Function

Description

This function calculates the T-Student distribution of experiment.

Usage

tstudent_(x,u,s,n)

Arguments

x

Should be a number

u

Should be a number

s

Should be a number

n

Should be a number

Details

To calculate the T-Student distribution, the user should give four number (sample mean, population mean, population standard deviation and sample size). The result is a probability distribution that arises from the problem of estimating the mean of a normally distributed population when the sample size is small. The T-Student distributionformule is the following:
tstudent.jpg

Value

Numeric, the T-Student distribution.

Note

Each variable is a number. Example: x <- 2 | y <- 4

Author(s)

Jose Manuel Gomez Caceres, josemanuel.gomezc@edu.uah.es
Juan Jose Cuadrado, jjcg@uah.es
Universidad de Alcala de Henares

Examples


    #data creation
    x = 52.9
    u = 50
    s = 3
    n = 10
    
    tstudent_(x,u,s,n)
  

Variance Calculus Function

Description

This function calculates the variance of a numbers vector.

Usage

variance_(x)

Arguments

x

Should be a numbers vector

Details

To calculate the variance, the user should give a numbers vector. The result is the expectation of the squared deviation of all numbers vector from its mean. The variance formule is the following:
variance.jpg

Value

Numeric, the variance of the numbers vector.

Note

A vector is created by c(), like c(1,2,3,4,5) creates a vector with the numbers: 1,2,3,4,5

Author(s)

Dennis Monheimius, dennis.monhemimius@edu.uah.es
Eduardo Benito, eduardo.benito@edu.uah.es
Juan Jose Cuadrado, jjcg@uah.es
Universidad de Alcala de Henares

Examples


    #data creation
    data = c(1,4,3,3,2,5,7,12,1,2,3,12)
    
    variance_(data)